为啥不能是副词lastly
网校学员Zho**在学习初级起点直达PETS三级【随到随学班】时提出了此问题,已有1人帮助了TA。
网校助教
yym121mmy
同学你好,该知识点来自沪江网校《初级起点直达PETS三级【随到随学班】》的课程,想要更系统的学习,欢迎进入课程学习。不仅可以和更多的同学一起学习,而且还有老师、助教随时的学习指导和知识点解答哦。
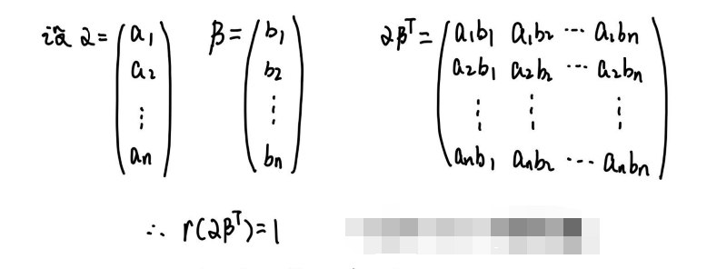
两个列向量的内积的秩是1呀
版权申明:知识和讨论来自课程:《初级起点直达PETS三级【随到随学班】》的学员和老师,如果想了解更多,可以报名参加课程学习。所有知识讨论内容,版权归作者及沪江网校所有。
相关资料
英语中副词的作用
很美。) He runs quickly.(他跑得很快。) 二、修饰形容词 其次,副词可以用来修饰形容词,帮助描述事物特征或程度,丰富了句子的表达方式。例如: It’s an extremely hot day.(今天非常炎热。) She is inc...
英语副词的运用方法
要想学好英语,在学习英语的过程中需要大量的积累单词和掌握语法。下面是小编给大家分享的关于英语副词
副词的用法归纳总结
心地)、well(好)。 程度副词:表示动作的程度,如very(非常)、quite(相当)、too(太)。 频率副词:表示动作发生的频率,如always(总是)、often(经常)、seldom(很少)。 副词的位置 副词通常出现在动词、形容词或其他副...
英语中常用的副词有哪些
副词是英语语法中必不可少的一部分,它们可以修饰动词、形容词、其他副词常用的副词及其用法,帮助读者深入理解这一语法要点。 一、时间副词 时间副词用来表示动作发生的时间点或一段时间,常见的时间副词包括: now(现在)、today(今天)、yester...
英语副词的分类及用法
副词(Adverbs)是英语语法中的一类词性,用来修饰动词、形容词、其他副词
副词的位置及例句
度上的变化。 例句: She is extremely beautiful.(她非常漂亮。) He is very tall.(他非常高。) The movie was quite interesting.(这部电影相当有趣。) 3. 副词放在其他副词...