最后俩句话,采访首相。和首相接受采访。不一样吗?那为什么
网校学员手机用**在学习日语零基础直达N2【签约班】3月版时提出了此问题,已有1人帮助了TA。
网校助教
拉格朗日约瑟夫
同学你好,该知识点来自沪江网校《日语零基础直达N2【签约班】3月版》的课程,想要更系统的学习,欢迎进入课程学习。不仅可以和更多的同学一起学习,而且还有老师、助教随时的学习指导和知识点解答哦。
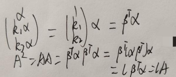
这个是这个矩阵的特殊性。一般算矩阵的高次,是对角化然后来算的。这个是因为这个矩阵秩是1,于是就是说矩阵每一行都是线性相关的,比如设第一行是α,那么第二行第三行就是k2α,k3α,于是这个矩阵就可以写成

版权申明:知识和讨论来自课程:《日语零基础直达N2【签约班】3月版》的学员和老师,如果想了解更多,可以报名参加课程学习。所有知识讨论内容,版权归作者及沪江网校所有。
相关资料
韩语和日语一样一样吗
一部分,但是很多人在备考日语口语时会遇到很多困难。下面是关于韩语和日语一样吗的介绍,一起来了解吧。 一、韩语和日语一样吗 韩语和日语在某些方面存在相似之处,但它们是两种完全不同的语言。 首先,韩语和日语的语法结构相似,比如句子的词序、主谓宾的排列方式等...
为什么日语浅草和浅草寺的念法不一样一样呢
入了大量的汉字,并同时借用了汉字的发音。这形成了汉音的一部分。 然而,随着时间的推移,日本对汉字的理解和应用逐渐出现了区别,训读逐渐形成。训读考虑了日本语言规律和语音特点,使得发音与汉语有所区别。 「浅草」和「浅草寺」的念法不同正是日语中汉音和训读的典...
从日本顶流到好莱坞新贵!他成这家公司首位日本演员
!!!おめでとう御座います」「おめでとう!!!応援してます」と祝福のコメントが相次いでいる。[/en] [cn]投稿还分享了一张贺来身穿黑色高领毛衣的黑白肖像照,评论区网友纷纷祝福:“太厉害了!!!恭喜恭喜!”、“恭喜!!!会一直支持你!”。[/c...
日本国民妹妹从甜妹脸到瘦脱相,近况曝光引全网担忧:真的还好吗?
美了”“用普通相机就能展现异次元美貌的滨边美波”“宛如天女下凡,太
苏翊鸣夺冠!日本教练公开致谢:感谢中国
发热议。[/cn] [en]2月21日には、中国国営テレビ局『CGTN』のスポーツ専門番組でインタビュー動画が公開され、番組内では、「大きなスノーボード界の家族みたいなものだから、楽しみ、全てをやり遂げてほしいと思った」と強調。「全選手にリスペクトを感...
新瓜!超特级国民爱豆与超人气女主播被曝热恋!
很好。Instagram上还分享过一起旅行的照片,比起前后辈,她们更像是姐妹。”[/cn] [en]しかも、笹崎さんは黒田さんにとって、会社の元先輩であるだけでなく、宮舘さんの事務所の先輩でもある中丸雄一さんの妻という存在でもある。宮舘さんとの関係も、...