In no country __Britain,it has been said,can noe experience four seasons in the course of a single day.
A.other than B.more than C.better than
网校学员uoC**在学习英语零基础直达PETS三级/公共英语三级【开学季专享班】时提出了此问题,已有1人帮助了TA。
网校助教
拉格朗日约瑟夫
同学你好,该知识点来自沪江网校《英语零基础直达PETS三级/公共英语三级【开学季专享班】》的课程,想要更系统的学习,欢迎进入课程学习。不仅可以和更多的同学一起学习,而且还有老师、助教随时的学习指导和知识点解答哦。
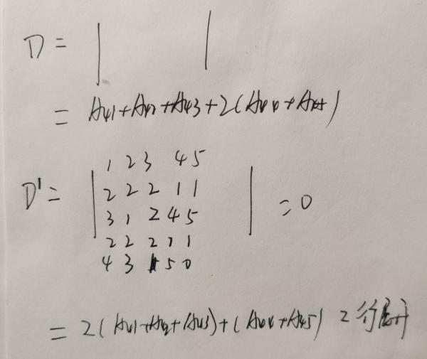
就是看到第二行和第四行,你可以把A41+A42+A43和A44+A45当做两个整体,利用第二行和第四行展开得到关于这两项的线性方程,直接可以解出来。这个比较巧妙,根据这个题目的具体形式得来的
版权申明:知识和讨论来自课程:《英语零基础直达PETS三级/公共英语三级【开学季专享班】》的学员和老师,如果想了解更多,可以报名参加课程学习。所有知识讨论内容,版权归作者及沪江网校所有。
英语零基础直达PETS三级/公共英语三级【开学季专享班】
已有1人在本课程中发现了157个知识
已有125个知识得到了老师的回复
本课程热门知识点