首页 考研 蜕变计划 知识详情

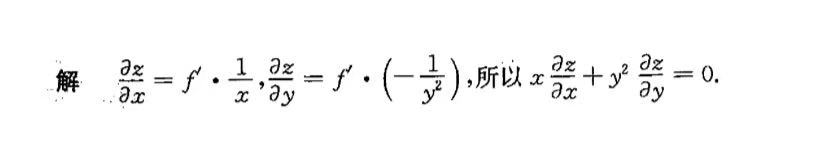
第13题为什么f1=f2啊

网校学员考过4**在学习2021考研蜕变计划高端班 政英数+专业课1对1+暑期集训营【现金奖励班】时提出了此问题,已有1人帮助了TA。

网校助教

怪味少女flada1

同学你好,该知识点来自沪江网校《2021考研蜕变计划高端班 政英数+专业课1对1+暑期集训营【现金奖励班】》的课程,想要更系统的学习,欢迎进入课程学习。不仅可以和更多的同学一起学习,而且还有老师、助教随时的学习指导和知识点解答哦。

点击查看大图这个题不是二元的  f(x,y)  这样的  所以不存在f`'1和f'2

版权申明:知识和讨论来自课程:《2021考研蜕变计划高端班 政英数+专业课1对1+暑期集训营【现金奖励班】》的学员和老师,如果想了解更多,可以报名参加课程学习。所有知识讨论内容,版权归作者及沪江网校所有。

相关资料

为什么国企、私企、外企人,都在考这个英语证书?

作了又没时间考。如果你有考BEC的想法,那一定是尽快考! 最好的时机当然是大学期间,备考时间更充裕,而且接收新知识的能力和记忆力也更强。另外,随着BEC越来越被大众所认可,它的报考价格也在水涨船高,每年都会有所增长,早考早省钱呀,同学们! 如果你已经工...

为什么国企、私企、外企人,都在考这个英语证书?

作了又没时间考。如果你有考BEC的想法,那一定是尽快考! 最好的时机当然是大学期间,备考时间更充裕,而且接收新知识的能力和记忆力也更强。另外,随着BEC越来越被大众所认可,它的报考价格也在水涨船高,每年都会有所增长,早考早省钱呀,同学们! 如果你已经工...

为什么你学了10年英语却还是不会说?这3个盲区正在拖后腿!

开口,你会发现——词都在脑子里,就是出不了嘴。 盲区3 你缺少一个“沉浸式”语言环境 别说英语了,就连中文,如果每天不说话,口才也会退化。 很多人学不好英语,是因为: 没有练习对象 没有“说错了就被纠正”的机会 没有“逼你用英语沟通”的真实语境 所以你...

2025年的BEC商务英语考试,什么时候开始报名?

如你还在纠结考初级、中级还是高级,那就不如选择BEC初中高级连读班,1个班级覆盖BEC初中高级3个级别,覆盖3次BEC考试。 沪江名师团特别打造的职场商务精品好课BEC初中高级连读【特惠签约班】,288课时,将BEC三个级别的知识点都一网打尽。 还有特...

2025年的BEC商务英语考试,什么时候开始报名?

如你还在纠结考初级、中级还是高级,那就不如选择BEC初中高级连读班,1个班级覆盖BEC初中高级3个级别,覆盖3次BEC考试。 沪江名师团特别打造的职场商务精品好课BEC初中高级连读【特惠签约班】,288课时,将BEC三个级别的知识点都一网打尽。 还有特...

2025年6月CATTI翻译考试倒计时!这些注意事项一定要知道!

信上考场: 01 打印准考证 通常在考前一周左右开放打印,一定不要拖到最后一天,建议多21、22日是2025年度翻译专业资格1-3打印几份备用。 02 熟悉考点路线 规划好交通方式,方便的话可提前踩点,避免考试当天找不到教室或迟到! 03 考试用品准备...