新求精的语法课,形容词的词尾变化是在哪一课?
网校学员绍兴老**在学习新求精德语(A2-B2强化版)【随到随学班】时提出了此问题,已有2人帮助了TA。
网校助教
czs3634
同学你好,该知识点来自沪江网校《新求精德语(A2-B2强化版)【随到随学班】》的课程,想要更系统的学习,欢迎进入课程学习。不仅可以和更多的同学一起学习,而且还有老师、助教随时的学习指导和知识点解答哦。
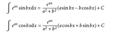
公式
网校助教
czs3634
同学你好,该知识点来自沪江网校《新求精德语(A2-B2强化版)【随到随学班】》的课程,想要更系统的学习,欢迎进入课程学习。不仅可以和更多的同学一起学习,而且还有老师、助教随时的学习指导和知识点解答哦。
公式
版权申明:知识和讨论来自课程:《新求精德语(A2-B2强化版)【随到随学班】》的学员和老师,如果想了解更多,可以报名参加课程学习。所有知识讨论内容,版权归作者及沪江网校所有。
相关资料
法语中关于形容词的介绍
语的认识停留在哪个阶段呢?我们都知道学外语,需要注意语法内容。法语也不例外,有关于形容词
法语形容词用法的演变
语言随着社会的发展而不断演变。在语言三要素中,词汇的变化为迅速,新的社会现象、新的事物需要用新的词汇来表现。语言和语法的变化比较缓慢,尤其是语法体系,但语法体系的变化仍是不可否定的现实。下文中主语言随着社会的发展而不断演变。在语言三要素中,词汇的变化为...
法语词尾是否发音
数字,则-gt发[t]的音 2) 词尾为ps时,一般来说不发音,如:temps - 时间,corps - 身体 3) 词尾为ct时,一般来说要发音,如:direct - 直接的,exact - 准确的 例外:respect - 尊敬的词尾-ct不发音 ...
法语冠词语法的相关介绍
对于冠词看,大家应该知道吧!但如果说是法语的冠词,你又了解多少呢?面对语法知识,可能各个语言都有自己独特的地方,学习法语的时候大家也要注意语法内容。所以今天就和大家来说说有关于法语语法的相关内容,感兴趣的可以来看看。 1 冠词 01/ 冠词的种类 冠词...
法语入门必看初级词汇:形容词篇
ramenerget together 归结于 tape-à-l'oeiltacky 花哨的 lourderto kick out 赶某人出去 Cassos.Let's go. 出发 s’empiffrerto stuff your face 滥吃 ...
法语入门必看初级词汇:形容词篇
法语是一门很有挑战性的语言,考试中更需要我们掌握语法和词汇的变化。为了帮助到大家,下文中特整语是一门很有挑战性的语言,考试中更需要我们掌握语法和词汇的变化。为了帮助到大家,下文中特整理了法语入门必看初级词汇:形容词篇,一起来了解吧。 Describin...
新求精德语(A2-B2强化版)【随到随学班】
已有52人在本课程中发现了1229个知识
已有1144个知识得到了老师的回复
本课程热门知识点