단정 지다 和직업을 갖다 是固定搭配吗都

网校学员lie**在学习实用韩国语高级【8月班】时提出了此问题,已有1人帮助了TA。

网校助教

czs3634

同学你好,该知识点来自沪江网校《实用韩国语高级【8月班】》的课程,想要更系统的学习,欢迎进入课程学习。不仅可以和更多的同学一起学习,而且还有老师、助教随时的学习指导和知识点解答哦。

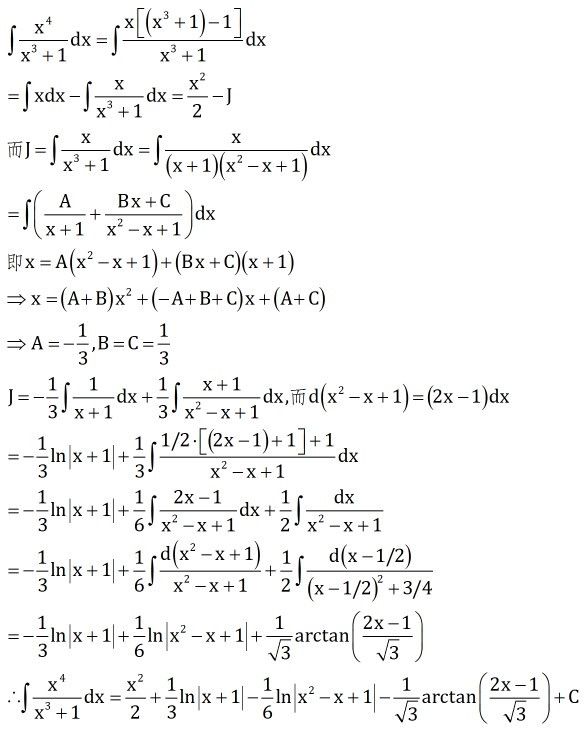
点击查看大图

版权申明:知识和讨论来自课程:《实用韩国语高级【8月班】》的学员和老师,如果想了解更多,可以报名参加课程学习。所有知识讨论内容,版权归作者及沪江网校所有。

相关资料

business用法及固定搭配

别的事情发生。 (5) "in the business of":从事...的生意。 3、使用建议 为了更好地掌握和使用"business"这个单词,我们有以下建议:首先,我们需要理解"business"在不同语境下的含义,并根据上下文来选择正确的解释...

简单的英语固定搭配和短语学习

固定搭配

英语中的常见固定搭配学习

光下 26. in the past few years 在过去几年时间里 27. in order to 为了 28. in the past 在过去 29. do well in 在......方面干

英语的固定搭配短语学习与分享

都知道英语学习词汇和

托福听力可能会遇到的英语固定搭配

固定搭配的学习很重要,在托福听力中你是不是也遇到了不懂的词组呢?这都是练习太少的缘故。固定搭配的使用其实并不算少,且有些还会被反复考察。如果我们能够熟练的掌握这些固搭,一定会对我们的听力理解有很大的帮助。 01 all over the place 乱...

英语考试常用的固定搭配学习

和必要的搭配非常重要,只有牢记英语的固定结构,才能更好地进行句子表达和英语作文。今天和