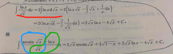
画圈的这个难度有多大,我完全想不到啊,他给了答案,我都没太看懂的……
网校学员考过4**在学习2021考研蜕变计划高端班 政英数+专业课1对1+暑期集训营【现金奖励班】时提出了此问题,已有1人帮助了TA。
网校助教
怪味少女flada1
同学你好,该知识点来自沪江网校《2021考研蜕变计划高端班 政英数+专业课1对1+暑期集训营【现金奖励班】》的课程,想要更系统的学习,欢迎进入课程学习。不仅可以和更多的同学一起学习,而且还有老师、助教随时的学习指导和知识点解答哦。

版权申明:知识和讨论来自课程:《2021考研蜕变计划高端班 政英数+专业课1对1+暑期集训营【现金奖励班】》的学员和老师,如果想了解更多,可以报名参加课程学习。所有知识讨论内容,版权归作者及沪江网校所有。
相关资料
一文对比:BEC高级和雅思,到底哪个更难考?
做到自圆其说,内容充实。 (四)口语: 雅思: • 与考官面对面的对话形式 • 包括几个简短问题,针对某熟悉话题进行阐述以及针对该话题的讨论 BEC高级: Part1 :Interview 这部分持续约3分钟(三人组的约5分钟)。考官会给出一些介绍性的...
为什么国企、私企、外企人,都在考这个英语证书?
作了又没时间考。如果你有考BEC的想法,那一定是尽快考! 最好的时机当然是大学期间,备考时间更充裕,而且接收新知识的能力和记忆力也更强。另外,随着BEC越来越被大众所认可,它的报考价格也在水涨船高,每年都会有所增长,早考早省钱呀,同学们! 如果你已经工...
为什么国企、私企、外企人,都在考这个英语证书?
作了又没时间考。如果你有考BEC的想法,那一定是尽快考! 最好的时机当然是大学期间,备考时间更充裕,而且接收新知识的能力和记忆力也更强。另外,随着BEC越来越被大众所认可,它的报考价格也在水涨船高,每年都会有所增长,早考早省钱呀,同学们! 如果你已经工...
BEC高级相当于雅思几分?
大出国的学生,考雅思会比较适合。 雅思的成绩在大部分国家都是认可的,不管是以后去外企就业还是继续出国深造,都是十分妥当的选择。 BEC: BEC是商务英语,面向的是一些职场工作的人群, 为了评价工作中英语应用能力的英语考试,主要用于求职加薪和职场的实际...
2025雅思托福分数换算表出炉:雅思7分=托福91分!
加了托福也考了雅思,且50%的人先考的托福,还有50%先考的雅思 这些样本覆盖了主流的非英语母语人群,其中中文和印度语言占了一半以上,日语占11.4% 最重要的是,所有成绩样本都不包含家庭版考试,学术论文里专门强这个调了这一点 雅思托福换算表 01 总...
BEC重点词汇:negotiate是什么意思?
negotiate 音标: /nɪˈɡəʊʃieɪt/ 词性: 动词 释义:谈判;协商(尤指为达成协议或解决分歧) 例句1: We are trying to negotiate a better deal with the supplier. 我们正...