首页 考研 蜕变计划 知识详情

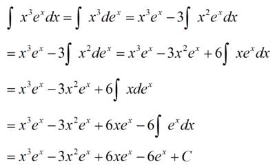
2.(1)怎么做的详细步骤

网校学员微信用**在学习2021考研蜕变计划高端班 政英数+专业课1对1+暑期集训营【现金奖励班】时提出了此问题,已有1人帮助了TA。

网校助教

yym121mmy

同学你好,该知识点来自沪江网校《2021考研蜕变计划高端班 政英数+专业课1对1+暑期集训营【现金奖励班】》的课程,想要更系统的学习,欢迎进入课程学习。不仅可以和更多的同学一起学习,而且还有老师、助教随时的学习指导和知识点解答哦。

点击查看大图

版权申明:知识和讨论来自课程:《2021考研蜕变计划高端班 政英数+专业课1对1+暑期集训营【现金奖励班】》的学员和老师,如果想了解更多,可以报名参加课程学习。所有知识讨论内容,版权归作者及沪江网校所有。

相关资料

练习英语四级听力要怎么做

之前的大脑没有跟上或者反应不过来的词句弄清楚。这样长时间的练习,英语听力会有明显地提高。 2.听后进行复述 在练习听力一段时间后,已经有一定的基础了,可以慢慢练习将听过的对话文章,自己复述一遍,在脑海中快速搜索听到的记忆,在复述的过程中,体会自己对词句...

详细地的英文怎么说

chain length 链分子的长度与动力学链长成正比。 The length of that pen is only a finger. 那支钢笔只有一指长。 The standard length in France is the meter....

相当详细的英文怎么说

is only a finger. 那支钢笔只有一指长。 The standard length in France is the meter. 法国的标准长度是米。great是什么意思: adj. 巨大的;很多的;重大的;伟大的;优异的;极好的;非...

查询四级英语成绩详细步骤分享

点击首页菜单栏“成绩查询”,选择进入“大学英语四、六级考试(CET)”查分页面;输入准考证号、考生姓名及验证码,点击“查询”即可查分。 二、使用手机APP查询4级英语成绩的步骤详解 随着移动互联网的普及,越来越多的人开始使用手机APP查询英语四级成绩。...

英语四级听力该怎么做

有效 1、认真对待听力材料 你做模拟题、真题的时候做过听力吗?据我所知,大部分人做模拟题的时候都是只做阅读和写作,而听力很少有人会去做。所以别总抱怨自己的听力水平差,你可能一套完整的题目都还没做过呢,一点都不重视听力,又怎么可能提高听力水平呢? 2、利...

详细用英语怎么说

detail or circumstance. 详情详尽的细节或情形 minute是什么意思: n. 分(时间单位);片刻,一会儿;瞬间 v. 记入备忘录 adj. 微小的,极小的;详细的;精密的 The soldiers halted for a ...