首页 考研 蜕变计划 知识详情

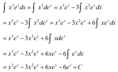
1.(1)怎么做的求详细步骤

网校学员微信用**在学习2021考研蜕变计划高端班 政英数+专业课1对1+暑期集训营【现金奖励班】时提出了此问题,已有2人帮助了TA。

网校助教

czs3634

同学你好,该知识点来自沪江网校《2021考研蜕变计划高端班 政英数+专业课1对1+暑期集训营【现金奖励班】》的课程,想要更系统的学习,欢迎进入课程学习。不仅可以和更多的同学一起学习,而且还有老师、助教随时的学习指导和知识点解答哦。

2(1)凑微分,1/xdx=d(lnx)
原式=∫1/[1+2lnx]d(lnx)
=1/2*ln[2lnx+1]+C
f(1)=1带入 解出C即可

网校助教

czs3634

同学你好,该知识点来自沪江网校《2021考研蜕变计划高端班 政英数+专业课1对1+暑期集训营【现金奖励班】》的课程,想要更系统的学习,欢迎进入课程学习。不仅可以和更多的同学一起学习,而且还有老师、助教随时的学习指导和知识点解答哦。

点击查看大图

版权申明:知识和讨论来自课程:《2021考研蜕变计划高端班 政英数+专业课1对1+暑期集训营【现金奖励班】》的学员和老师,如果想了解更多,可以报名参加课程学习。所有知识讨论内容,版权归作者及沪江网校所有。

相关资料

练习英语四级听力要怎么做

之前的大脑没有跟上或者反应不过来的词句弄清楚。这样长时间的练习,英语听力会有明显地提高。 2.听后进行复述 在练习听力一段时间后,已经有一定的基础了,可以慢慢练习将听过的对话文章,自己复述一遍,在脑海中快速搜索听到的记忆,在复述的过程中,体会自己对词句...

查询四级英语成绩详细步骤分享

点击首页菜单栏“成绩查询”,选择进入“大学英语四、六级考试(CET)”查分页面;输入准考证号、考生姓名及验证码,点击“查询”即可查分。 二、使用手机APP查询4级英语成绩的步骤详解 随着移动互联网的普及,越来越多的人开始使用手机APP查询英语四级成绩。...

考研英语1的阅读题怎么做

出现ONLY的,一般都为干扰项。 8、说明原因的,且仅仅是说明原因而已,一般是干扰项。 9、一定要注意,谁是用来修饰谁的。起修饰作用的词或句子,来做选项,一般是错的。被修饰的那部分来作选项,一般是对的。 10、因果关系的题,很直接、很简单的因果关系,直...

想提升商务英语口语怎么做

会有一些商务英语水平不错的朋友,而你则可以将这些朋友集合起来,一起分享学习乐趣和探索商务英语口语的未知领域,尝试用英文进行交流,交流的内容可以多样化,这样来训练自己的语感。 6、温故而知新 虽然有些总觉得自己的口语水平好像还不错,但即便如此也是需要经常...

BEC成绩查询 | 5个步骤图文详解!太详细了!

2024年上半年BEC考试马上就要出成绩了,竟然还有很多同学不知道该如何查询成绩。 今天小编就把查分的详细流程跟大家讲解一下,快拿出小本本记下来 ~ #01 进入官网,点击成绩查询  💫官方网址: #02 注册账号  进入成绩查询页面,有regist...

托福阅读文章小结题怎么做

么要求考生快速解题。 为了快速解题,考生应该及时总结文章的主旨,并在脑海中组织文章的框架。考生应阅读文章中的要点,并在阅读过程中跳读一遍文章。通读文章时,考生要阅读每一段的第一句、最后一句和转折句,这样能够从句子、句间关系、段落结构、段落关系等层层把握...