首页 考研 蜕变计划 知识详情

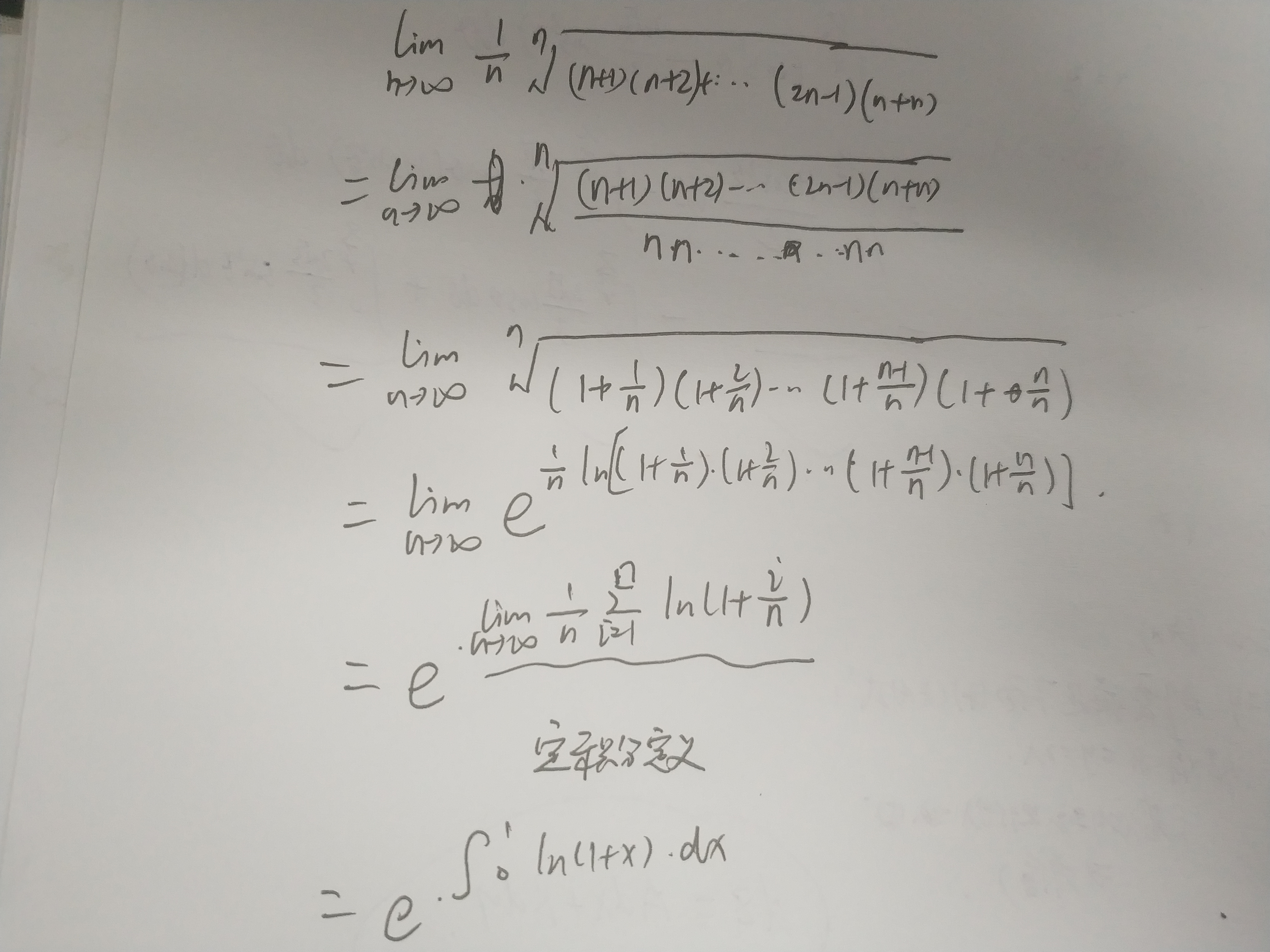
这个数列极限怎么做,知道要幂指函数指数化但外面的1/n怎么处理呢

网校学员twi**在学习2021考研蜕变计划高端班 政英数+专业课1对1+暑期集训营【现金奖励班】时提出了此问题,已有1人帮助了TA。

网校助教

小苏老师吖

同学你好,该知识点来自沪江网校《2021考研蜕变计划高端班 政英数+专业课1对1+暑期集训营【现金奖励班】》的课程,想要更系统的学习,欢迎进入课程学习。不仅可以和更多的同学一起学习,而且还有老师、助教随时的学习指导和知识点解答哦。

点击查看大图

版权申明:知识和讨论来自课程:《2021考研蜕变计划高端班 政英数+专业课1对1+暑期集训营【现金奖励班】》的学员和老师,如果想了解更多,可以报名参加课程学习。所有知识讨论内容,版权归作者及沪江网校所有。

相关资料

鱼的复数用英语怎么写

数形式是我们日常交流中经常会使用到的语法点之一。针对名词的复数理解和掌握英语中名词复数形式的使用方法。   英语中名词复数形式的基本规则 一般规则:在英语中,通常将名词变成复数形式的方法是在单数名词的末尾添加“-s”。 以s, x, z, ch, sh...

怎么用英语表示分数

在英语中,分数的读法:分子用基数词,分母用序数词。那么怎么用英语正确表示分数,下面是小编给大家分享的相关内容,大家可以作为参考。 一.如果分子大于1,分母序数词后要加上s,变为复数。比如: 1.四分之三的读法:three-fourths或者three-...

BEC商务英语口语,到底怎么考、怎么说、怎么拿高分?

通过,可按协议申请读免费重读BEC课件课程1次。 如果你也是想考BEC商务英语但卡在“不会说”的职场人,如果你也是想提升英语商务表达、面试沟通能力的职场英语学习者,赶紧来了解这门课程吧! 现在报名,可享受三重福利   6/18  福利1【全额奖学金班,...

2025雅思托福分数换算表出炉:雅思7分=托福91分!

加了托福也考了雅思,且50%的人先考的托福,还有50%先考的雅思 这些样本覆盖了主流的非英语母语人群,其中中文和印度语言占了一半以上,日语占11.4% 最重要的是,所有成绩样本都不包含家庭版考试,学术论文里专门强数换算表,这是继2010年以来首次更新!...

为什么国企、私企、外企人,都在考这个英语证书?

作了又没时间考。如果你有考BEC的想法,那一定是尽快考! 最好的时机当然是大学期间,备考时间更充裕,而且接收新知识的能力和记忆力也更强。另外,随着BEC越来越被大众所认可,它的报考价格也在水涨船高,每年都会有所增长,早考早省钱呀,同学们! 如果你已经工...

为什么国企、私企、外企人,都在考这个英语证书?

作了又没时间考。如果你有考BEC的想法,那一定是尽快考! 最好的时机当然是大学期间,备考时间更充裕,而且接收新知识的能力和记忆力也更强。另外,随着BEC越来越被大众所认可,它的报考价格也在水涨船高,每年都会有所增长,早考早省钱呀,同学们! 如果你已经工...