首页 考研 蜕变计划 知识详情

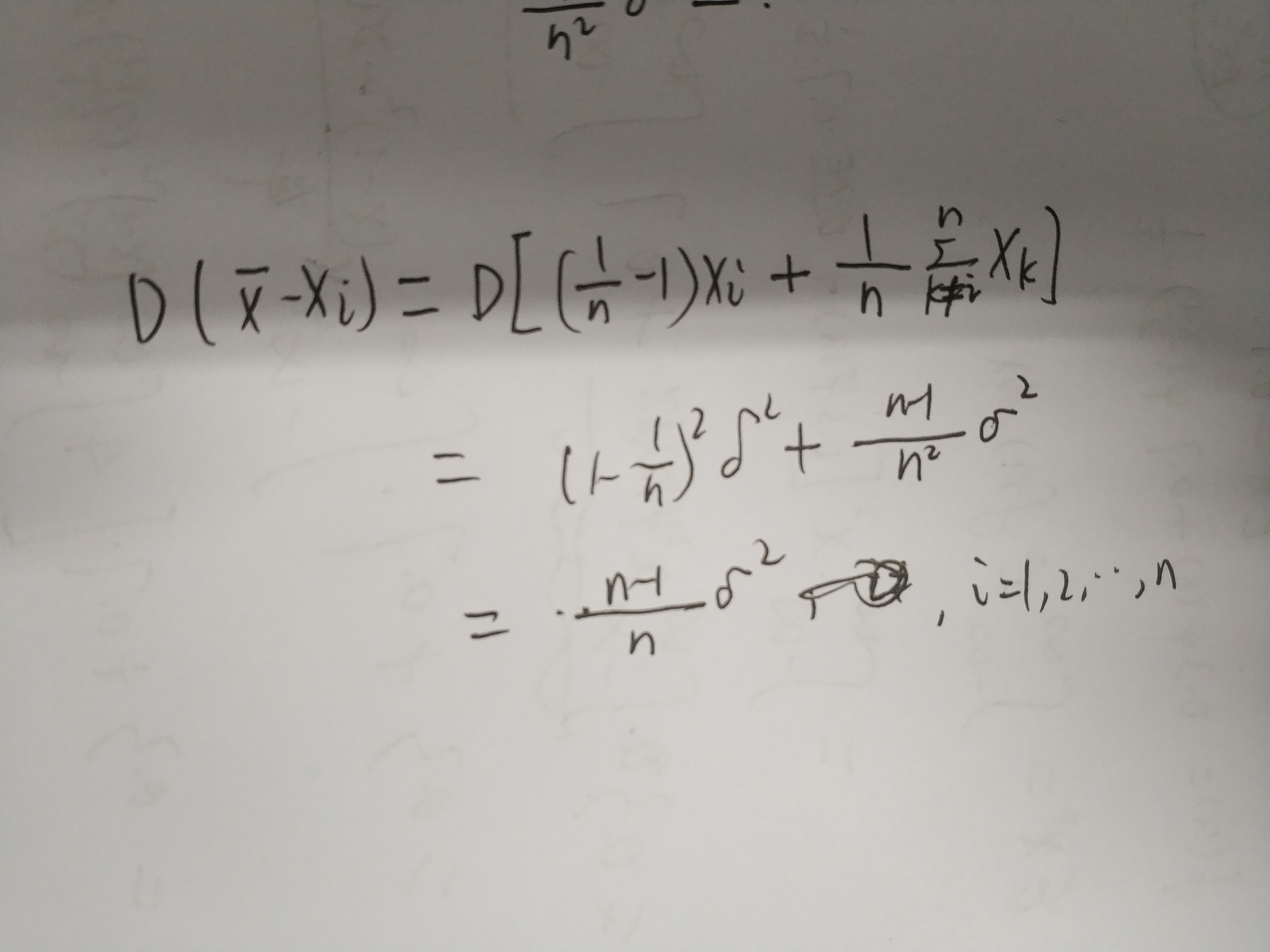
14题 帮忙写一下详细过程

网校学员uzn**在学习2020考研蜕变计划标准班【政英数+专业课1对1】时提出了此问题,已有1人帮助了TA。

网校助教

小苏老师吖

同学你好,该知识点来自沪江网校《2020考研蜕变计划标准班【政英数+专业课1对1】》的课程,想要更系统的学习,欢迎进入课程学习。不仅可以和更多的同学一起学习,而且还有老师、助教随时的学习指导和知识点解答哦。

点击查看大图

版权申明:知识和讨论来自课程:《2020考研蜕变计划标准班【政英数+专业课1对1】》的学员和老师,如果想了解更多,可以报名参加课程学习。所有知识讨论内容,版权归作者及沪江网校所有。

相关资料

打招呼问好的相关英文表达

学习英语的时候,大家一定要注意口语的训练,各种场景下的表达方式也要好好去练习。今天来说说打招呼常用的简单英文句子吧!你学过多少呢?比如说打扰一下英语口语怎么说?明天见又该怎么表达,感兴趣的朋友可以一起来看看。 1、Good morning! 早上好! ...

英语中“Excuse me”的相关用法学习

一下用英语怎么说?Excuse me是我们在学习英语时最常用到的表达,了解一

英语中关于休息的几个表达分享

一下用英语怎么说?大家的第一

托福口语备考过程中的一下一下常见问题

一朝一到你对它更满意为止。一般来说,每天努力练习半小时到一小时,坚持三个月,发音就会有很大的提高。 托福口语能力的提高不是一朝一夕就能实现的,除了需要有计划外,还需要正确的备考方法,大家可以在备考过程中注意多点总结和反思,及时调整备考策略,取得理想的成...

了解一下英语中一下的大猩猩

说和音乐。它常常代表原始力量、野性或古老的智慧。 学术用语: 在计算机科学领域,Gorilla是一种数据压缩算法的名称,意指高效、强大和节省空间的特性。 2. 大猩猩的生物学特征 体型和外貌: 大猩猩是最大的灵长类动物之一,雄性体重可达200公斤以上。...

了解一下英语中一下的虚拟语气