首页 考研 蜕变计划 知识详情

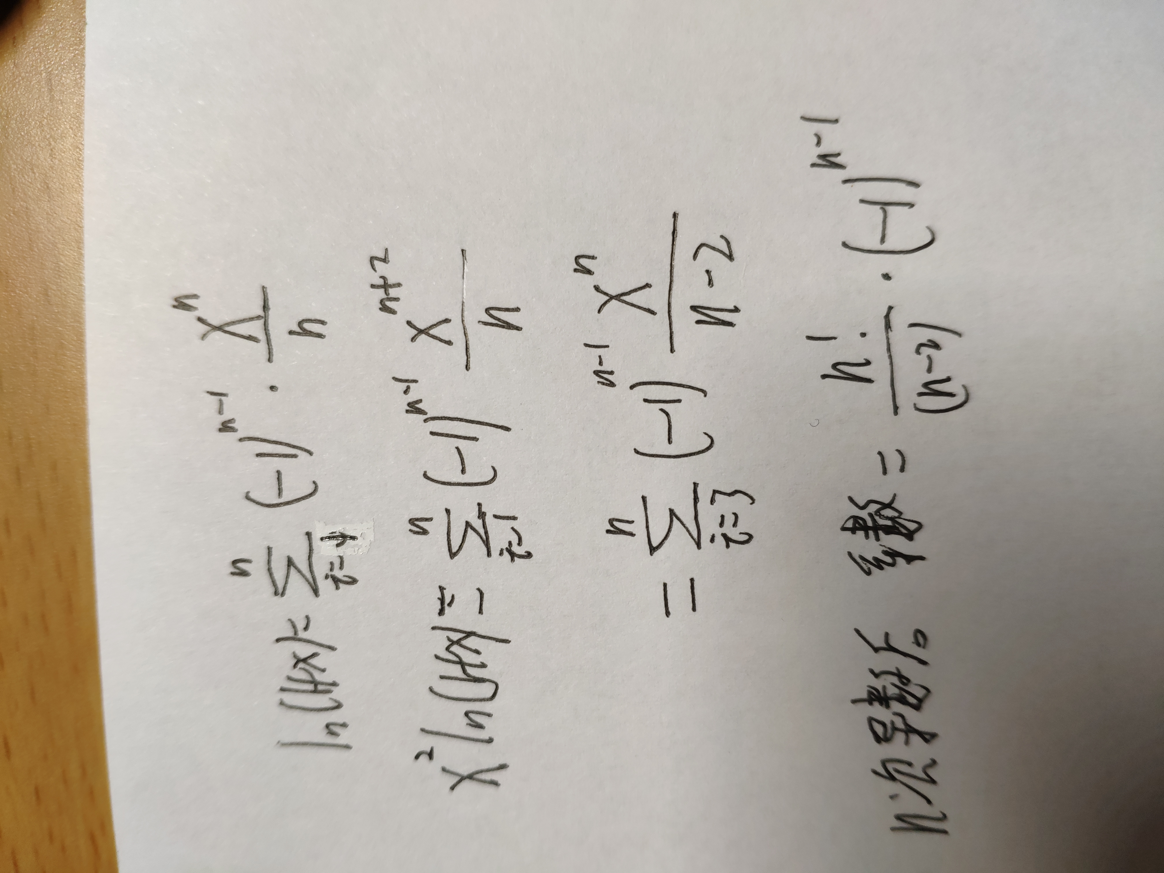
老师您好,请问“可能”和“和偶然”它们有区别吗?总感觉可能性也是一种偶然性,反过来感觉也可以,总有点分不清楚,“必然”是一定会发生的,而“现实”是已经发生存在了的,感觉“必然”和“偶然”,“现实”和“可能”这两对有点相似,我是不是哪里理解弄错了,有点分不清楚。

网校学员YJ哈**在学习2020考研蜕变计划标准班【政治+MTI+外国语专业课1对1】时提出了此问题,已有2人帮助了TA。

网校助教

czs3634

同学你好,该知识点来自沪江网校《2020考研蜕变计划标准班【政治+MTI+外国语专业课1对1】》的课程,想要更系统的学习,欢迎进入课程学习。不仅可以和更多的同学一起学习,而且还有老师、助教随时的学习指导和知识点解答哦。

点击查看大图

网校助教

czs3634

同学你好,该知识点来自沪江网校《2020考研蜕变计划标准班【政治+MTI+外国语专业课1对1】》的课程,想要更系统的学习,欢迎进入课程学习。不仅可以和更多的同学一起学习,而且还有老师、助教随时的学习指导和知识点解答哦。

点击查看大图

版权申明:知识和讨论来自课程:《2020考研蜕变计划标准班【政治+MTI+外国语专业课1对1】》的学员和老师,如果想了解更多,可以报名参加课程学习。所有知识讨论内容,版权归作者及沪江网校所有。

2020考研蜕变计划标准班【政治+MTI+外国语专业课1对1】

已有21人在本课程中发现了576个知识

已有498个知识得到了老师的回复

本课程热门知识点