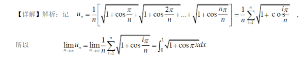
请问这个2002的,这个cos里面的π怎么提呢。1提个1/π不就是π了?
网校学员ukh**在学习2020考研公共课名师联报班 政治+数学+英语一【天猫专享】时提出了此问题,已有1人帮助了TA。
网校助教
薛大帅萌萌哒
同学你好,该知识点来自沪江网校《2020考研公共课名师联报班 政治+数学+英语一【天猫专享】》的课程,想要更系统的学习,欢迎进入课程学习。不仅可以和更多的同学一起学习,而且还有老师、助教随时的学习指导和知识点解答哦。

版权申明:知识和讨论来自课程:《2020考研公共课名师联报班 政治+数学+英语一【天猫专享】》的学员和老师,如果想了解更多,可以报名参加课程学习。所有知识讨论内容,版权归作者及沪江网校所有。
相关资料
为什么国企、私企、外企人,都在考这个英语证书?
作了又没时间考。如果你有考BEC的想法,那一定是尽快考! 最好的时机当然是大学期间,备考时间更充裕,而且接收新知识的能力和记忆力也更强。另外,随着BEC越来越被大众所认可,它的报考价格也在水涨船高,每年都会有所增长,早考早省钱呀,同学们! 如果你已经工...
为什么国企、私企、外企人,都在考这个英语证书?
作了又没时间考。如果你有考BEC的想法,那一定是尽快考! 最好的时机当然是大学期间,备考时间更充裕,而且接收新知识的能力和记忆力也更强。另外,随着BEC越来越被大众所认可,它的报考价格也在水涨船高,每年都会有所增长,早考早省钱呀,同学们! 如果你已经工...
免费领:12堂课讲清楚48个国际音标
你是否在英语发音上苦恼不已?别担心!现在为你送上福利 —— 免费领取 “12 堂课讲清楚 48 个国际音标”。这套课程将用 12 堂课的时间,带你深入掌握 48 个国际音标。无论是单词发音,还是连读、弱读等语音技巧,都能轻松学会。还在等什么?快来免费领...
poll这个单词怎么记忆
这个词并不是一个广泛认知的梗,其含义可能因语境和领域而异。如果“Pollie”在某个特定情境下被用作梗或网络用语,那么不是一个广泛流传的梗或网络用语,因此其含义可能较为模糊或特定于某个小圈子、文化或地区。 3、可能的误解或混淆 值得注意的是,有时人们可...
为什么国企、私企、外企人,都在考这个英语证书?
作了又没时间考。如果你有考BEC的想法,那一定是尽快考! 最好的时机当然是大学期间,备考时间更充裕,而且接收新知识的能力和记忆力也更强。另外,随着BEC越来越被大众所认可,它的报考价格也在水涨船高,每年都会有所增长,早考早省钱呀,同学们! 如果你已经工...
2025年6月CATTI翻译考试倒计时!这些注意事项一定要知道!
信上考场: 01 打印准考证 通常在考前一周左右开放打印,一定不要拖到最后一天,建议多21、22日是2025年度翻译专业资格1打印几份备用。 02 熟悉考点路线 规划好交通方式,方便的话可提前踩点,避免考试当天找不到教室或迟到! 03 考试用品准备 文...
2020考研公共课名师联报班 政治+数学+英语一【天猫专享】
已有72人在本课程中发现了2972个知识
已有2890个知识得到了老师的回复
本课程热门知识点