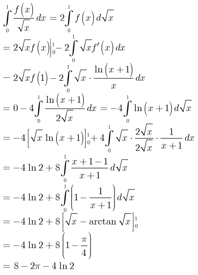
第55题求详细解法,另外fx一定要解出来吗?
网校学员凤鸣绝**在学习2020考研蜕变计划标准班【政英数+专业课1对1】时提出了此问题,已有1人帮助了TA。
网校助教
怪味少女flada1
同学你好,该知识点来自沪江网校《2020考研蜕变计划标准班【政英数+专业课1对1】》的课程,想要更系统的学习,欢迎进入课程学习。不仅可以和更多的同学一起学习,而且还有老师、助教随时的学习指导和知识点解答哦。
*
版权申明:知识和讨论来自课程:《2020考研蜕变计划标准班【政英数+专业课1对1】》的学员和老师,如果想了解更多,可以报名参加课程学习。所有知识讨论内容,版权归作者及沪江网校所有。
相关资料
2025年6月CATTI翻译考试倒计时!这些注意事项一定要知道!
信上考场: 01 打印准考证 通常在考前一周左右开放打印,一定不要拖到最后一天,建议多打印几份备用。 02 熟悉考点路线 规划好交通方式,方便的话可提前踩点,避免考试当天找不到教室或迟到! 03 考试用品准备 文具:黑色钢笔或签字笔,铅笔橡皮等(考试为...
BEC口语考试要填答题卡吗?一定要找搭档吗?
够了,而并非他觉得你说的不好或者不想听才打断。这种是不会影响你的分数的,大家注意把控时间,平和心态就好。 06 高频提问6 🌰Q:口语考试用穿正装吗,需不需要化妆? 🌰A:不需要。 大家要弄明白,口语考试是考试不是面试,没有dress code,所...
四级阅读5大得分点整理!考前一定要把这篇看一遍!
文中快速浏览找到关键词,有的快速阅读文章里面有小标题,善用小标题可以更
四级报名卡到崩溃!这才是报名的正确姿势!超详细流程赶紧收藏!
考中找不到方向,亦详细或是屡次不过,想要报班学习,不妨看看沪江2025年6月英语四六级白金班。屠皓民团队实力carry,助你过级! 课程亮点:一次考试不通过,可免费重读一次! 若考试成功通过,可以联系顾问老师,用四级实付抵扣换新班。可选班级:六级、Hi...
BEC重点词汇:negotiate是什么意思?
negotiate 音标: /nɪˈɡəʊʃieɪt/ 词性: 动词 释义:谈判;协商(尤指为达成协议或解决分歧) 例句1: We are trying to negotiate a better deal with the supplier. 我们正...
一文对比:BEC高级和雅思,到底哪个更难考?
做到自圆其说,内容充实。 (四)口语: 雅思: • 与考官面对面的对话形式 • 包括几个简短问题,针对某熟悉话题进行阐述以及针对该话题的讨论 BEC高级: Part1 :Interview 这部分持续约3分钟(三人组的约5分钟)。考官会给出一些介绍性的...